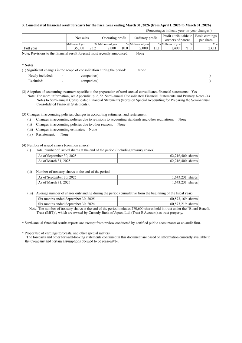
Marvelous Inc. provides a comprehensive financial overview of its performance through the third quarter of the fiscal year ending March 31, 2026. As a Tokyo-based entertainment company, its operations span three primary segments: Digital Contents, which develops games for various platforms; Amusement, focused on arcade game machines; and Audio & Visual, covering music, video, and live stage performances. The data reflects a multi-year trajectory of financial results, including consolidated balance sheets, income statements, and segment-specific sales and income. Financial results for the first nine months of the 2026 fiscal year show net sales of 29,121 million yen, surpassing the full-year totals of the previous two fiscal years. Despite this growth in top-line revenue, operating profit for the period stands at 1,776 million yen, reflecting a lower operating profit ratio of 6.1% compared to 17.9% in 2022. The Digital Contents segment remains the largest contributor to revenue, generating 16,896 million yen in the first three quarters, though it recorded a segment loss of 73 million yen. In contrast, the Amusement segment proved highly profitable, contributing 2,558 million yen in income on sales of 9,298 million yen. The company maintains a stable financial position with total assets of 35,669 million yen and an equity ratio of 76.4% as of December 2025. While net income per share has recovered to 25.56 yen from a loss in 2024, profitability metrics such as Return on Equity have fluctuated significantly over the reported periods. The shareholder structure is anchored by Image Frame Investment (HK) Limited, which holds a 20% stake, followed by founder-related holdings. These figures highlight a period of revenue expansion driven by diverse entertainment segments, tempered by rising costs of sales and shifting profitability within the core digital gaming business.