115 documents
Consolidated Financial Results for the Fiscal Year Ended March 31, 2017 Stock exchange listing: Tokyo Stock Exchange Representative: Hiroki Morita, President Inquiries: Yasuhiro Ogino, Director and Executive General Manager, Administrative Headquarters Scheduled date of Ordinary General Meeting of Shareholders: June 27, 2017 Scheduled date of commencing dividend payments: June 7, 2017 Scheduled date of filing securities report: June 28, 2017 Availability of supplementary briefing material on fin...
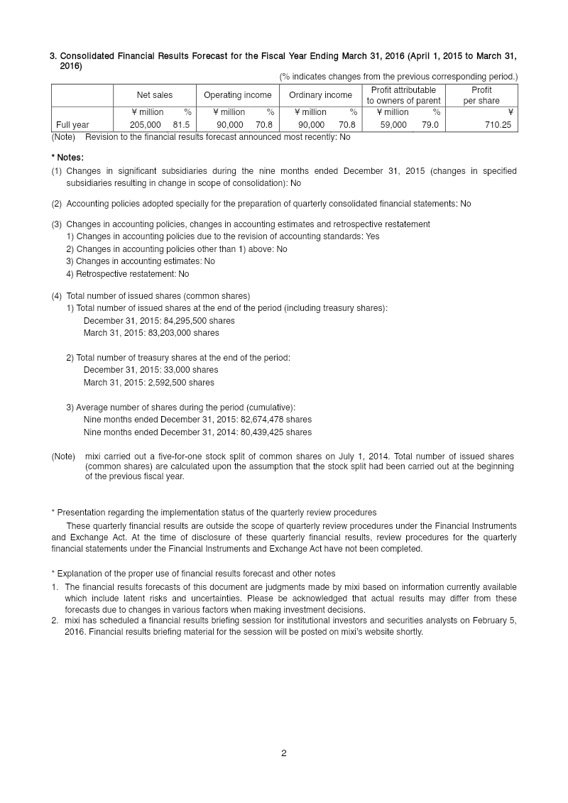
The consolidated financial results for mixi, Inc. cover the nine‑month period from April 1 to December 31 2015, a fiscal year ending March 31 2016. Net sales rose 120 % to ¥150,285 million, driven by a jump in external media sales and entertainment platform revenue. Operating income increased 125 % to ¥67,305 million, while ordinary income reached ¥66,999 million. Profit attributable to owners of parent surged 130 % to ¥44,032 million, yielding a per‑share profit of ¥532.60 and diluted profit of ¥532.35. Comprehensive income for the period was ¥44,030 million, a 129 % increase over the prior year. Total assets grew to ¥140,179 million, with net assets rising 94 % to ¥104,521 million and an equity ratio of 74.6 %. Cash and cash equivalents increased to ¥90,380 million, supported by operating cash flows of ¥31,927 million. The company paid interim dividends totaling ¥5,898 million (¥70 per share) and announced no change to its dividend forecast. The report includes a full‑year 2016 forecast of net sales ¥205,000 million and profit attributable to owners of parent ¥59,000 million. Accounting policy changes effective from the first quarter of 2015 include adoption of revised Japanese GAAP standards for business combinations, consolidated financial statements, and divestitures. Segment reporting was restructured into Entertainment Business and Media Platform Business, with EBITDA used as the performance metric. Significant goodwill adjustments resulted from acquisitions of Hunza Inc. and MUSE & Co., Ltd., with straight‑line amortization over 8 and 3 years respectively. The document covers Japan exclusively, with no foreign operations reported.