845 documents matching your filters
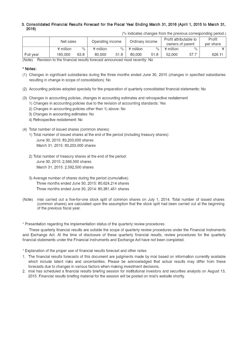
The quarterly report presents mixi, Inc.’s consolidated financial performance for the first quarter of fiscal 2016 (April 1–June 30, 2015). Net sales surged to ¥50.08 billion from ¥12.72 billion a year earlier, reflecting a 293.8 % increase driven by the Entertainment and Media Platform segments. Operating income rose to ¥24.35 billion, a 423.1 % jump, while ordinary income reached ¥24.34 billion and profit attributable to the parent climbed to ¥15.96 billion, a 446.8 % rise. Comprehensive income for the quarter was ¥15.97 billion, up 450.5 % from the prior year’s negative figure. Total assets stood at ¥98.72 billion, down from ¥104.18 billion in March 2015, while net assets increased to ¥64.79 billion, raising the equity ratio to 65.6 %. Cash and deposits were ¥56.82 billion, a significant increase from ¥65.41 million at the end of March 2015. The company’s share‑based metrics show profit per share and diluted profit per share at ¥197.97 and ¥197.81 respectively, reflecting a five‑for‑one stock split executed in July 2014. The report forecasts full‑year 2016 results of ¥185.0 billion in sales, ¥80.0 billion operating income, and ¥52.0 billion profit attributable to the parent, with no revisions to prior forecasts. Dividend guidance remains unchanged, projecting a total of ¥129 million for the fiscal year ending March 2016. The document notes no changes in subsidiary scope or accounting policy, except for the adoption of revised Japanese GAAP standards effective from the first quarter. The company also disclosed a July 2015 overseas share offering, raising ¥5.33 billion to fund debt repayment and future entertainment‑business advertising.
The nine‑month financial results for mixi, Inc., covering April 1 to December 31 2014, demonstrate a dramatic turnaround from the prior year. Net sales surged 973.7 % to ¥68,265 million, driven by a sharp increase in external customer sales across the Media & Content and Life Events businesses. Operating income rose to ¥29,927 million from a loss of ¥509 million in the same period last year, resulting in an ordinary income of ¥29,979 million and a net profit of ¥19,104 million. Comprehensive income for the period was ¥19,199 million, compared with a loss of ¥1,481 million the previous year. Net income per share reached ¥237.50 (diluted ¥236.88) versus a loss of ¥21.08 per share in 2013. Total assets expanded from ¥26,492 million to ¥62,426 million, while equity grew from ¥22,238 million to ¥39,402 million, raising the equity ratio to 63.5 % from 84.5 %. Cash and cash equivalents increased markedly, ending the period at ¥42,065 million. The company’s liquidity improved as current liabilities rose to ¥22,771 million, largely due to higher accounts payable and tax provisions. The forecast for the fiscal year ending March 31 2015 projects net sales of ¥110,000 million and a net income of ¥32,000 million. No changes in accounting policies or significant subsidiaries were reported for the nine‑month period, and a five‑for‑one stock split on July 1 2014 was accounted for in per‑share calculations. The results reflect mixi’s strategic realignment of reportable segments and expansion into new business areas, underpinning its return to profitability.