Updated Mar 23, 2026 by CyberAgent
Report
Published by CyberAgent
The presentation outlines CyberAgent’s strategic focus for FY2023, emphasizing a dual‑stream business model that blends advertising revenue with game development while expanding into media and digital content. Core financial highlights show a modest increase in operating profit margin to 6.7 % from 5.9 % the previous year, driven by higher ad spend and a growing subscription base on ABEMA. Operating profit rose to ¥6.4 billion, with revenue growth of 8.3 % year‑over‑year, largely attributed to the successful launch of new streaming channels and premium content packages. Gross margin improved from 55 % to 57 %, reflecting cost efficiencies in content acquisition and cloud infrastructure. Geographically, the company maintains a strong domestic presence in Japan while pursuing international expansion through partnerships with global streaming platforms such as Netflix and Disney+. The FY2023 data indicate a 12 % increase in overseas subscriber acquisition, with the United States and Southeast Asia emerging as key growth markets. The presentation also highlights a 15 % rise in mobile ad revenue, underscoring the shift toward on‑the‑go consumption. Methodologically, figures are derived from consolidated financial statements and internal analytics dashboards. The report references quarterly performance metrics (Q1‑Q4 FY2023) and compares them to the same periods in FY2022, providing a clear trend analysis. Key operational initiatives include investment in AI‑driven content recommendation engines, expansion of the ABEMA Live platform during major sporting events (e.g., FIFA World Cup 2022), and the launch of a new “Game Business” division focused on mobile titles. Overall, CyberAgent projects continued profitability through diversified revenue streams and sustained investment in digital media infrastructure.
[Forward-looking statement] The future information, such as earnings forecast, written in this document is based on our expectations and assumptions as of the date the forecast was made. Our actual results could differ materially from those described in this forecast because of various risks and uncertainties.
192.2 191.1 163.4 179.7 171.0 172.1 176.2 167.5 129.1 131.0 109.5 104.4 107.5 110.8 117.3 113.6 111.7 115.6 112.8 120.8 97.9
> **[Chart page]** This page contains visual data — view in PDF for the best experience. 26.8 25.8 25.7 19.8 13.2 12.4 11.4 10.3 9.4 8.2 6.8 8.6 7.4 7.7 8.2 7.0 5.3 5.3 3.6 -1.2 1Q 2Q 3Q 4Q 1Q 2Q 3Q 4Q 1Q 2Q 3Q 4Q 1Q 2Q 3Q 4Q 1Q 2Q 3Q 4Q 1Q
Special incentives 40.4 40.4 Other* 37.1 37.1 37.8 Research and development expenses Office costs 1.4 34.6 9.3 9.6 Personnel 30.6 30.8 7.7 8.5 Advertisement cost 28.9 29.7 28.9 9.4 8.1 2.0 2.2 27.3 25.0 26.3 26.9 1.4 8.0 8.4 1.7 1.8 2.4 2.4 23.1 24.6 24.5 7.9 23.4 25.0 23.7 7.8 7.7 1.6 1.6 2.3 2.4 6.8 7.1 7.3 7.5 0.8 7.3 7.2 7.7 7.9 6.7 1.4 1.3 1.5 2.2 2.2 11.5 10.5 0.9 2.1 7.4 0.8 1.3 2.2 2.2 2.2 11.5 10.5 0.7 0.7 2.0 0.8 1.0 1.3 2.1 1.1 2.1 10.7 9.0 0.6 1.8 2.0 2.1 0.8 2.2 2.2 1.8 7.7 7.6 8.5 8.0 2.1 7.1 8.4 2.1 8.7 7.3 9.4 8.6 6.8 8.5 7.6 8.6 7.2 7.0 7.1 6.8 8.1 9.9 6.1 5.3 5.8 7.8 7.3 6.4 8.2 10.1 9.5 10.0 11.5 13.4 13.6 14.3 14.9 15.5 1Q 2Q 3Q 4Q 1Q 2Q 3Q 4Q 1Q 2Q 3Q 4Q 1Q 2Q 3Q 4Q 1Q 2Q 3Q 4Q 1Q
> **[Chart page]** This page contains visual data — view in PDF for the best experience. Investment Development 6,406 6,472 6,563 14 13 14 Headquarters 5,815 5,911 352 365 368 Other 5,595 5,733 12 13 748 Game 12 12 393 394 798 817 Internet Ad 5,102 5,113 5,144 5,196 5,199 384 395 11 4,952 4,888 4,842 14 13 12 12 743 764 Media 4,587 4,670 4,780 4,782 369 11 11 12 370 374 370 374 649 730 15 14 12 370 366 362 4,226 4,266 15 350 372 362 601 603 605 610 620 15 15 352 490 487 608 596 578 2,389 2,466 344 330 501 503 2,429 406 425 1,459 1,453 1,522 1,554 1,644 1,612 1,643 1,670 1,786 1,826 1,924 1,942 2,105 2,150 2,183 2,221 1,347 1,349 1,447 1,444 1,507 1,582 1,552 1,565 1,633 1,553 1,492 1,466 1,549 1,522 1,481 1,462 1,604 1,623 1,655 1,690 1,903 1,962 2,055 667 703 753 767 830 802 844 798 780 754 791 804 799 789 841 823 829 829 950 886 912 1Q 2Q 3Q 4Q 1Q 2Q 3Q 4Q 1Q 2Q 3Q 4Q 1Q 2Q 3Q 4Q 1Q 2Q 3Q 4Q 1Q
> **[Chart page]** This page contains visual data — view in PDF for the best experience. 99.5 97.0 95.6 87.8 92.3 80.6 81.8 82.2 76.5 72.7 66.6 67.3 61.4 60.2 61.3 62.2 64.3 63.3 64.3 64.9 57.6 1Q 2Q 3Q 4Q 1Q 2Q 3Q 4Q 1Q 2Q 3Q 4Q 1Q 2Q 3Q 4Q 1Q 2Q 3Q 4Q 1Q
CyberAgent achieved record-high consolidated sales of 232.3 billion yen and a nearly threefold increase in operating profit during the first quarter of fiscal year 2026. This performance was primarily catalyzed by the Game and Media & IP segments, which offset a minor decline in internet advertising revenue resulting from the loss of a major client. By reaching nearly 47% of its annual operating profit target within the first three months, the organization has established a robust financial trajectory for the remainder of the fiscal year. The Game business served as the primary engine for growth, recording a 69.2% year-over-year increase in sales and a fivefold surge in operating profit. This success was largely driven by the global performance of high-profile titles such as Jujutsu Kaisen Phantom Parade. Looking forward, the strategic focus remains on international expansion and the development of a diverse pipeline, including the North American launch of Umamusume: Pretty Derby and upcoming releases like hololive Dreams and Shadowverse: Worlds Beyond. These efforts are supported by extensive collaborative partnerships with major industry entities such as Shueisha, KADOKAWA, and Bandai Namco Entertainment. Simultaneously, the Media & IP segment reached a significant milestone as AbemaTV achieved independent profitability. The company is increasingly integrating animation studios and leveraging generative artificial intelligence to automate video advertisement production and optimize for emerging search technologies. This synergy between intellectual property development and technological innovation underscores a broader strategy to diversify revenue streams and solidify a global presence across the digital entertainment landscape.
Bushiroad Inc. experienced significant growth in profitability during the first quarter of fiscal year 2026, covering the period from July 1, 2025, to September 30, 2025. Net sales reached 13,766 million yen, representing a 12.2% increase compared to the same period in the previous fiscal year. This revenue growth was accompanied by a substantial surge in operating profit, which rose 226.6% to 1,668 million yen. Ordinary profit and profit attributable to owners of the parent also saw dramatic improvements, reaching 1,932 million yen and 1,663 million yen respectively, rebounding from much lower or negative figures in the prior year. The financial position of the company remains stable, with total assets valued at 47,971 million yen and net assets increasing to 26,844 million yen. This resulted in an improved equity-to-asset ratio of 52.7%, up from 47.7% at the end of fiscal 2025. A notable corporate action during this period was a two-for-one share split effective October 1, 2025. Consequently, profit per share for the quarter was 12.27 yen when calculated on a post-split basis, a sharp increase from the 0.42 yen recorded in the first quarter of fiscal 2025. Despite the strong start to the year, the full-year forecast for fiscal 2026 suggests a more conservative outlook. Management anticipates annual net sales of 56,000 million yen, a slight decrease of 0.3% year-over-year. Operating profit for the full year is projected to decline by 7.6% to 4,500 million yen, while profit attributable to owners of the parent is expected to drop 21.0% to 2,700 million yen. The company plans an annual dividend of 2.50 yen per share on a post-split basis, reflecting a cautious approach to the remainder of the fiscal year ending June 30, 2026.
The 2021 Fact Book presents a comprehensive overview of Bandai Namco Holdings’ strategic direction, emphasizing its transformation into a globally integrated entertainment conglomerate and its commitment to corporate social responsibility. Central to the narrative is the thesis that sustained growth across toys, video games, animation and amusement can be achieved through diversified product portfolios, expansive international operations, and proactive sustainability initiatives. The company’s evolution is traced from a collection of independent toy, arcade‑machine and media firms to a unified group after the 2005‑2007 merger of Bandai and Namco. Key milestones include the launch of flagship lines such as Gundam models (over 500 million units shipped), Tamagotchi (exceeding 20 million units), and Zatchbell Battle (300 million units), as well as the development of major video‑game franchises—TEKKEN, DARK SOULS III and Tales—collectively surpassing 50 million sales. International expansion is evident through subsidiaries and regional headquarters in North America, Europe and Asia, reinforced by repeated listings on the Tokyo Stock Exchange and industry recognitions such as Cannes Best Actor and TSE awards. Environmental and social performance data for fiscal year 2021 highlight a suite of CSR actions, including CO₂ reduction targets, supply‑chain safety measures and work‑life‑balance programmes, all framed within the “NEXT STAGE” mid‑term plan aimed at deepening engagement with a mature fan base and broadening cross‑media offerings. The Fact Book thus underscores Bandai Namco’s dual focus on market leadership and sustainable corporate practices across a worldwide footprint and multiple entertainment segments.
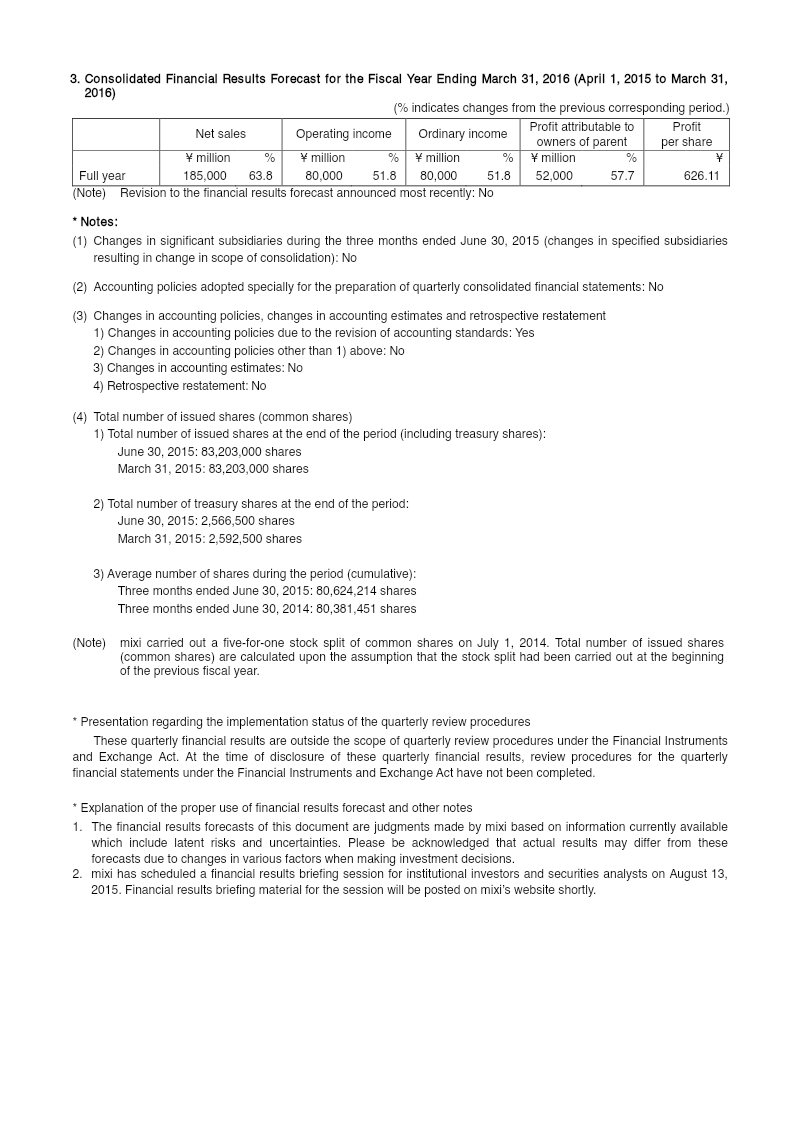
This financial report details the consolidated results for mixi, Inc. during the first quarter of the fiscal year ending March 31, 2016, covering the period from April 1, 2015, to June 30, 2015. The findings reveal a period of massive growth for the Japanese company, primarily driven by the expansion of its Entertainment Business. Net sales reached ¥50,080 million, representing a 293.8% increase over the same period in the previous year. Operating income rose by 423.1% to ¥24,345 million, while profit attributable to owners of the parent surged 446.8% to ¥15,960 million. The report highlights a strategic shift in business segments following the acquisition of Hunza, Inc. and MUSE & Co., Ltd. in early 2015. The company now operates under two primary segments: the Entertainment Business, which includes the flagship title Monster Strike, and the Media Platform Business, which encompasses mixi.jp and newly acquired e-commerce and ticketing services. The Entertainment Business was the dominant contributor to the quarter's success, accounting for ¥47,002 million in net sales and ¥25,024 million in segment income. In contrast, the Media Platform Business contributed ¥3,078 million in sales. Financial stability remains strong, with total assets valued at ¥98,721 million and an equity ratio of 65.6%, up from 51.4% at the end of the previous fiscal year. Cash flows from operating activities saw a net use of ¥4,542 million, largely due to a significant income tax payment of ¥22,897 million. Subsequent to the quarter's end, the company raised approximately ¥17,560 million through an overseas offering of new shares and treasury shares. These funds are earmarked for the repayment of loans related to recent acquisitions and for future advertising expenses within the Entertainment Business. For the full fiscal year, the company forecasts net sales of ¥185,000 million and a profit of ¥52,000 million.