Consolidated Financial Results: Japan
Monex Group, Inc. presents its consolidated financial results for the six-month period ending September 30, 2025, prepared in accordance with International Financial Reporting Standards (IFRS). The primary purpose of this disclosure is to provide stakeholders with an update on the company’s financial performance, segment operations, and shareholder return policies. The group operates globally within the financial services sector, specifically focusing on online brokerage, crypto assets, asset and wealth management, and investment activities.
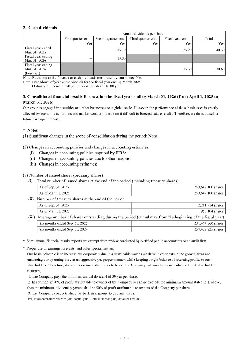
Financial performance for the first half of the fiscal year shows growth compared to the same period in 2024. Revenue reached 40,397 million yen, representing a 12.8% increase year-on-year. Profit before income taxes rose significantly by 52.8% to 7,658 million yen, while profit attributable to owners of the company grew by 12.3% to 4,549 million yen. Basic earnings per share for the period were 18.09 yen. As of September 30, 2025, the company reported total assets of 758,918 million yen and total equity of 119,384 million yen, with an equity ratio of 15.5%.
The group restructured its reporting segments during the period into four categories: Online Brokerage, Crypto Asset, Asset & Wealth Management, and Investment. While the Online Brokerage segment remains the largest contributor to revenue, the company continues to diversify its service offerings. Due to the inherent volatility of global market conditions, the company does not provide formal earnings forecasts. However, it maintains a commitment to shareholder returns, targeting a minimum annual dividend of 30 yen per share, supplemented by potential buybacks and performance-based distributions. The financial statements reflect the exclusion of discontinued operations related to the divestment of Monex Boom Securities (H.K.) Limited and its associated entities.