Skip to main content
Game Industry
Library
The Catch Up
Library
Collections
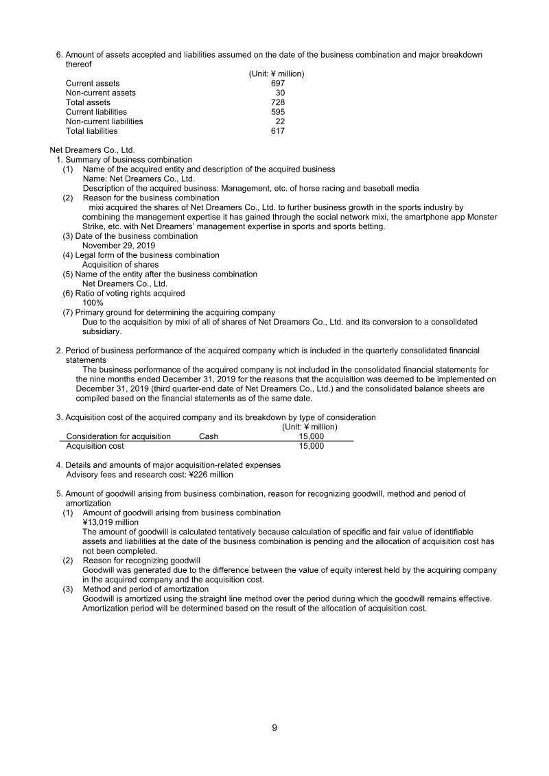
Writers
Glossary
Snippets
Help
Game Industry
Library
Consolidated Financial Results for the Nine Months Ended December 31, 2019 — Read | Game Industry Library
Back to Details
1
2
3
4
5
6
7
8
9
10
No annotations yet. Highlight text in the PDF to create one.
Notes
Sign in to view your writings.
You