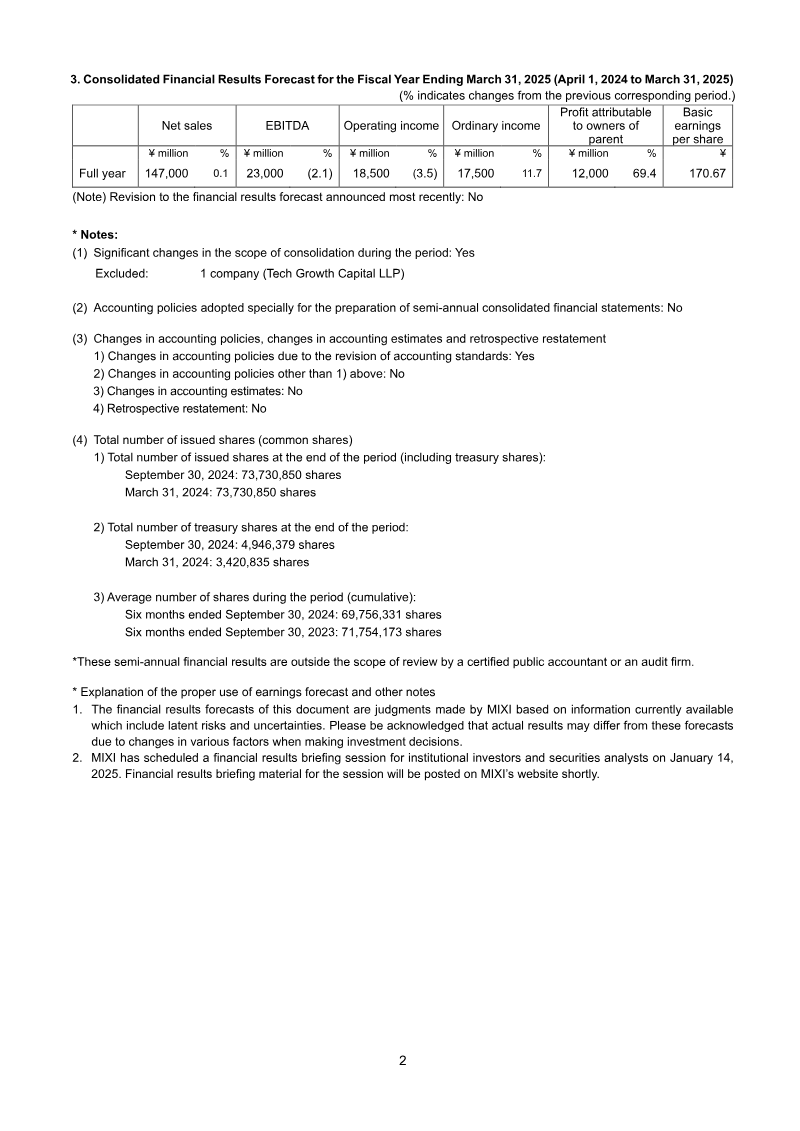
Kaga Electronics Co., Ltd. reported a challenging financial performance for the first half of the fiscal year ending March 31, 2012. The company faced significant headwinds, including the aftermath of the Great East Japan Earthquake, global economic instability in the United States and Europe, and a strengthening yen. These factors contributed to a 3.5% decline in consolidated net sales to 116,271 million yen. Profitability was more severely impacted, with operating income falling 68.9% to 805 million yen and net income dropping 77.2% to 321 million yen compared to the same period in the previous year. The company operates across four primary segments: electronic components, information equipment, software, and others. The electronic components segment, which represents the largest portion of the business, saw sales decrease by 5.8% as manufacturers reduced output. While the information equipment segment achieved a 9.1% sales increase due to demand for PC peripherals and digital TV tuners, it recorded an operating loss of 77 million yen due to compressed margins and higher expenses. Both the software and other segments experienced declines in sales and operating income, further pressuring the bottom line. Financial positioning remained stable, with total assets at 110,147 million yen and an equity ratio of 41.3%. Cash flow from operating activities shifted to a net outflow of 2,446 million yen, largely driven by changes in accounts receivable and trade payables. Looking ahead, the company maintained its full-year forecast despite the uncertain economic environment. Management noted that severe flooding in Thailand, which began in October 2011, caused damage to a subsidiary’s factory, though the full financial impact remains under assessment. The company continues to focus on strengthening group solidarity and expanding its product portfolio to navigate these ongoing market challenges.